您的位置:首页 >如何使用Python实现softmax函数的反向传播?
发布于2023-05-08 阅读(0)
扫一扫,手机访问
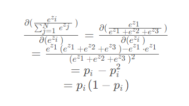
可以看到,softmax 计算了多个神经元的输入,在反向传播求导时,需要考虑对不同神经元的参数求导。
分两种情况考虑:
当求导的参数位于分子时
当求导的参数位于分母时

当求导的参数位于分子时:

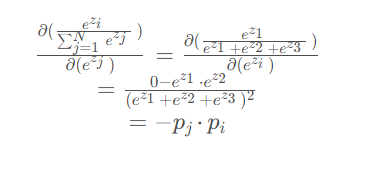
当求导的参数位于分母时(ez2 or ez3这两个是对称的,求导结果是一样的):


import torch import math def my_softmax(features): _sum = 0 for i in features: _sum += math.e ** i return torch.Tensor([ math.e ** i / _sum for i in features ]) def my_softmax_grad(outputs): n = len(outputs) grad = [] for i in range(n): temp = [] for j in range(n): if i == j: temp.append(outputs[i] * (1- outputs[i])) else: temp.append(-outputs[j] * outputs[i]) grad.append(torch.Tensor(temp)) return grad if __name__ == '__main__': features = torch.randn(10) features.requires_grad_() torch_softmax = torch.nn.functional.softmax p1 = torch_softmax(features,dim=0) p2 = my_softmax(features) print(torch.allclose(p1,p2)) n = len(p1) p2_grad = my_softmax_grad(p2) for i in range(n): p1_grad = torch.autograd.grad(p1[i],features, retain_graph=True) print(torch.allclose(p1_grad[0], p2_grad[i]))
售后无忧
立即购买>office旗舰店
售后无忧
立即购买>office旗舰店
售后无忧
立即购买>office旗舰店
售后无忧
立即购买>office旗舰店
正版软件
正版软件
正版软件
正版软件
正版软件
1
2
3
7
9