商城首页欢迎来到中国正版软件门户

最新文章

  • Python Pandas 知识点概述 正版软件
    Python Pandas 知识点概述
    为什么要学习Pandas?那么问题来了:numpy已经能够帮助我们处理数据,能够结合matplotlib解决我们数据分析的问题,那么pandas学习的目的在什么地方呢?numpy能够帮我们处理处理数值型数据,但是这还不够,很多时候,我们的数据除了数值之外,还有字符串,还有时间序列等比如:我们通过爬虫获取到了存储在数据库中的数据所以,pandas出现了。什么是Pandas?Pandas的名称来自于面板数据(paneldata)Pandas是一个强大的分析结构化数据的工具集,基于NumPy构建,提供了高级数据
    1068天前 Python Pandas 0
  • 使用Python缓存优化数据访问速度的方法与技巧 正版软件
    使用Python缓存优化数据访问速度的方法与技巧
    Python使用缓存在开发Web应用或分布式系统时,缓存是常见的解决方案之一,它可以大幅提升系统性能。在Python中,我们可以使用内存缓存(例如使用functools.lru_cache)或者外部存储(例如使用Redis)来实现缓存功能。Django项目接入RedisDjango是一个非常流行的PythonWeb框架,其内置了很多的功能模块,包括缓存。Django框架默认的缓存后端是内存缓存,然而在实际应用中,内存缓存很容易就会出现OOM(OutofMemory)错误,因此我们需要将Django项目接入
    1068天前 Python 0
  • Pytest和Unittest在Python中的区别是什么? 正版软件
    Pytest和Unittest在Python中的区别是什么?
    1.安装和使用在安装方面,Unittest肯定更好,因为不用安装。Unittest属于Python标准库,装Python的时候就安装了。而Pytest的安装需要通过pip安装即可,也不算复杂。以上是安装,那么使用呢?在使用上Pytest更加灵活,可以在命令行中使用各种选项来执行测试,而Unittest则需要在脚本中编写测试用例并使用Unittest模块来运行测试。这一点上Pytest加分较多。2.编写测试用例Pytest和Unittest在编写测试用例方面也有一些区别。相对于Unittest而言,Pyte
    1068天前 Python pytest unittest 0
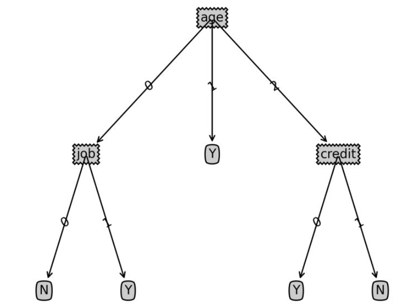
  • Python实现决策树分类算法的步骤及示例代码 正版软件
    Python实现决策树分类算法的步骤及示例代码
    前置信息1、决策树决策树是一种十分常用的分类算法,属于监督学习;也就是给出一批样本,每个样本都有一组属性和一个分类结果。算法通过学习这些样本,得到一个决策树,这个决策树能够对新的数据给出合适的分类2、样本数据假设现有用户14名,其个人属性及是否购买某一产品的数据如下:编号年龄收入范围工作性质信用评级购买决策0140低稳定较差是06>40低稳定好否0730-40低稳定好是08bestInfoGain):bestInfoGain=infoGainbestFeature=ireturnbestFeature以上
    1068天前 Python 0
  • Java8 Stream流式编程的使用方法 正版软件
    Java8 Stream流式编程的使用方法
    一、Stream中间操作Stream的中间操作是指在流链当中,可以对数据进行处理操作,包括filter过滤、map映射转换、flatMap合并、distinct去重、sorted排序等操作。这些操作都会返回一个新的Stream流对象,可以通过链式调用多个中间操作进行复杂的数据处理。需要注意的是,中间操作需要具有终止操作才会触发。下面按类别讲解Stream常见的中间操作。1.1、filter:过滤出符合条件的元素filter()方法常用于实现数据过滤,即可以对集合、数组等数据源筛选出符合指定条件的元素,并返
    1068天前 Java Stream 0
  • 如何在Python中生成重复的多行数据? 正版软件
    如何在Python中生成重复的多行数据?
    引言在做科学计算或者模拟仿真的时候,相信不少小伙伴会遇到这样的问题,比如,我们有一个一维数组如下所示:array=[1,2,3,4,5]此时,我们想要将其沿着y轴进行重复性堆叠,比如,这里我们设定3次,从而我们可以得到下面的数组。[[1.2.3.4.5.][1.2.3.4.5.][1.2.3.4.5.]]那么我们该怎么办呢?一般方法importnumpyasnparray=np.array([1,2,3,4,5])#原始数组repeat_time=3#沿着y轴堆叠的次数array_final=np.one
    1068天前 Python 0
  • Python中如何使用datetime库? 正版软件
    Python中如何使用datetime库?
    1.datetime库概述以不同格式显示日期和时间是程序中最常用到的功能。Python提供了一个处理时间的标准函数库datetime,它提供了一系列由简单到复杂的时间处理方法。datetime库可以从系统中获得时间,并以用户选择的格式输出。datetime库以格林威治时间为基础,每天由3600X24秒精准定义。该库包括两个常量:datetime.MINYEAR与datetime.MAXYEAR,分别表示datetime所能表示的最小、最大年份,值分别为1与9999。datetime库以类的方式提供多种日期
    1068天前 Python DateTime 0
  • Java网络编程之基于UDP协议的UDP编程实现 正版软件
    Java网络编程之基于UDP协议的UDP编程实现
    UDP编程通信基本介绍类DatagramSocket和DatagramPacket【数据包/数据报】实现了基于UDP协议网络程序。UDP数据报通过数据报套接字DatagramSocket发送和接收,系统不保证UDP数据报一定能安全送到目的地,也不确信什么时候可以抵达。DatagramPacket对象封装了UDP数据报,在数据报中包含了发送端的IP地址和端口号以及接收端的IP地址和端口号。UDP协议中每个数据报都给出了完整的地址信息,因此无须建立发送方和接收方的连接。基本流程核心的两个类/对象Datagra
    1068天前 Java UDP 0
  • Matplotlib库绘图教程——Python实现 正版软件
    Matplotlib库绘图教程——Python实现
    中文字体设置:#字体设置plt.rcParams['font.sans-serif']=["SimHei"]plt.rcParams["axes.unicode_minus"]=False1、基本使用Matplotlib:是一个Python的2D绘图库,通过Matplotlib,开发者可以仅需要几行代码,便可以生成折线图,直方图,条形图,饼状图,散点图等。plot是一个画图的函数,他的参数:plot([x],y,[fmt],data=None,**kwargs)1.1、线条样式&颜色(1)
    1068天前 Python Matplotlib 0
  • MySQL 分组查询实例分析 正版软件
    MySQL 分组查询实例分析
    说明1、可以使用groupby子句将表中的数据分成若干个组。语法select查询的字段,分组函数from表groupby分组的字段2、特点可以按单个字段分组和分组函数一同查询的字段最好是分组后的字段分组筛选实例SELECTMAX(salary),job_idFROMemployeesGROUPBYjob_id;
    1068天前 MySQL 0