商城首页欢迎来到中国正版软件门户

最新文章

  • 分享 18 个 Python 高效编程技巧 正版软件
    分享 18 个 Python 高效编程技巧
    本文由Python编程时光整理Python语言的高效编程技巧让我们这些大学曾经苦逼学了四年c或者c++的人,兴奋的不行不行的,终于解脱了。高级语言,如果做不到这样,还扯啥高级呢?01交换变量>>>a=3>>>b=6这个情况如果要交换变量在c++中,肯定需要一个空变量。但是python不需要,只需一行,大家看清楚了>>>a,b=b,a>>>print(a)>>>6>>>ptint(b
    1071天前 代码 Python 编程语言 0
  • 开发与编码的演变历史 正版软件
    开发与编码的演变历史
    从开发与编码的演变历史计算机编程的历史可以追溯到二十世纪早期,最初的电子计算机是使用机器语言(机器码)进行编程的,这也被称为第一代编程语言。但是,使用机器码非常困难,因为程序员必须使用0和1的指令格式来编写程序,而且很容易出错。在1950年代,高级程序设计语言应运而生,这是第二代编程语言。第一种高级程序设计语言是FORTRAN(FormulaTranslation),由IBM所开发,用于编写科学和工程应用程序。其后出现了其他高级程序设计语言:COBOL(CommonBusiness-
    1071天前 开发 编程语言 编码 0
  • 后缀表达式的java如何实现 正版软件
    后缀表达式的java如何实现
    中缀表示法java实现观察一个普通的算式:3+4*5我们当然知道,应该先计算4*5再将这个结果和3相加,就能得到最后的结果。如果是一个复杂一些的算式:3+4*((5-6)/7+8)这依然难不倒我们,只要牢记()的优先级最高,然后是*/,最后是+-就没问题了,这就是通常的中缀表示法。但是通过算法分析,这样的表达式,由于每一次都需要判断优先级,所以运行的时间应当是O(N^2)。在表达式很长很复杂的时候,就需要一种更适合计算机的算法来计算了。后缀表示法简介逆波兰表示法(ReversePolishnotation
    1071天前 Java 0
  • 学习Python,常用的这22个库怎能不掌握? 正版软件
    学习Python,常用的这22个库怎能不掌握?
    如今全球各个行业内Python的使用状况怎么样呢?这个问题就是我写这篇文章的初衷。我找出了22个最常用的Python包,希望能给你一些启发。首先我列出了最近一年内PyPI上下载量最高的Python包。我们来看看这些包的作用,它们的之间的关系,以及为什么会如此流行。1、Urllib38.93亿次下载Urllib3是Python的HTTP客户端,它提供了许多Python标准库没有的功能。线程安全连接池客户端SSL/TLS验证使用multipart编码进行文件上传用
    1071天前 Python 0
  • Python字典的高阶使用方法有哪些 正版软件
    Python字典的高阶使用方法有哪些
    通过序列生成字典我们将下面的序列转换为dict类型。lst=[('a',1),('b',2),('c',3)]普通的写法fork,vinlst:dic[k]=v更pythonic的写法利用字典推导式快速生成字典。{k:vfork,vinlst}key的默认值当指定key不存在时,将value设置为0。普通的写法ifkeynotindct:dct[key]=0pythonic的写法dct[key]=dct.get(key,0)交换key与value普通的写法d
    1071天前 Python 0
  • Java二维数组如何初始化 正版软件
    Java二维数组如何初始化
    1.二维数组说明数组是一个容器,用来存储数据的。现在数组中存储的不再是int,double..的类型了,而是存储的数组。数组中的元素还是数组,我们把它称之为数组中的数组,也就做二维数组。维度增加了一层。简单的来说二维数组,就是元素为一维数组的数组。2.初始化方法(1)使用大括号直接赋值,适合已经确定知道数组元素的情况(2)给定二维数组的大小(3)数组第二维的长度可变化,未改变3.初始化实例publicclassNote04_ArrayText2{publicstaticvoidmain(String[]a
    1071天前 Java 0
  • MySQL中sql语句有哪些 正版软件
    MySQL中sql语句有哪些
    以下两个表格做讲解SELECTSELECT"字段"FROM"表名";SELECTStore_NameFROMStore_Info;显示表格中的一个或数个字段的所有数据记录DISTINCTSELECTDISTINCT"字段"FROM"表名";selectdistinctstore_namefromstore_info;不显示重复的数据记录WHERESELECT"字段"FROM"表名"WHERE"条件";查找store_info表中符号sales=700条件的store_name字段有条件查询ANDORSEL
    1071天前 MySQL SQL 0
  • MySQL如何实现类型转换 正版软件
    MySQL如何实现类型转换
    类型转换命令:CAST(exprAStype)作用:主要用于显示类型转换应用场景:显示类型转换例子:mysql>selectcast(18700000000aschar);+---------------------------+|cast(18700000000aschar)|+---------------------------+|18700000000|+---------------------------+1rowinset(0.00sec)需要注意的是,其中type支持的不是全部基本数据类型
    1071天前 MySQL 0
  • Redis哨兵模式是什么 正版软件
    Redis哨兵模式是什么
    哨兵模式1.哨兵概念在一主多从结构中,如果master宕机了,就需要从多个slave中选出一个作为新的master,要想完成这样的功能,就需要使用Redis的哨兵机制哨兵(sentinel)是一个分布式系统,用于对主从结构中的每台服务器进行监控,当出现故障时通过投票机制选择新的master并将所有slave连接到新的master,如下图所示:2.哨兵作用监控:监控master和slave不断的检查master和slave是否正常运行master存活检测、master与slave运行情况检测通知(提醒):当
    1071天前 redis 0
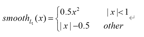
  • 怎么使用Python绘制分段函数 正版软件
    怎么使用Python绘制分段函数
    具体如下:如上图所示的分段函数如何在Python中绘制出来?importmatplotlib.pyplotaspltimportnumpyasnpdeff(x):ifx
    1071天前 Python 0