商城首页欢迎来到中国正版软件门户

最新文章

  • python自动化测试面试题与答案有哪些 正版软件
    python自动化测试面试题与答案有哪些
    1、什么项目适合做自动化测试?关键字:不变的、重复的、规范的1)任务测试明确,需求不会频繁变动2)项目周期要足够长3)自动化测试脚本可重复使用,比如:比较频繁的回归测试4)被测软件系统开发比较规范,能够保证系统的可测试性5)软件系统界面稳定,变动少6)项目进度压力不太大2、什么是PO模式?是指把一个具体的页面转化为编程语言当中的一个对象,页面特性转化成对象属性,页面操作转化为对象方法。1)通俗来讲把每个页面当成一个对象,页面层写定位元素方法和页面操作方法2)用例层从页面层调用操作方法,写成用例3)可以做到
    1063天前 Python 0
  • Java中删除文件或文件夹的方法有哪些? 正版软件
    Java中删除文件或文件夹的方法有哪些?
    删除文件或文件夹的四种基础方法下面的四个方法都可以删除文件或文件夹。它们的共同点是:当文件夹中包含子文件的时候都会删除失败,也就是说这四个方法只能删除空文件夹。//delete是立即执行删除,而deleteOnExit是程序退出虚拟机时才会删除。File类的delete()File类的deleteOnExit():当虚拟机终止时,删除File对象表示的文件或目录,如果表示的是目录,需要保证目录是空的,否则无法删除,无返回值。Files.delete(Pathpath):删除位于作为参数传递的路径上的文件。
    1063天前 Java 0
  • linux中mysql表名区不区分大小写 正版软件
    linux中mysql表名区不区分大小写
    linux中mysql表名是区分大小写的;mysql的数据库名、表名、变量名和表的别名在linux中都是严格区分大小写的,而列名与列的别名在所有的情况下都是忽略大小写的,可以修改MySQL的配置文件中的“ower_case_table_names”参数来设置是否区分大小写。本教程操作环境:linux7.3系统、mysql8.0.22版本、DellG3电脑。linux中mysql表名区分大小写吗linux中,mysql安装完成后,表名默认区分大小写,且该属性无法修改,网上说的在/etc/mysql/my.c
    1063天前 Linux MySQL 0
  • Python获取某一日期是“星期几”的六种方法全解析 正版软件
    Python获取某一日期是“星期几”的六种方法全解析
    在Python进行数据分析时,按照日期进行分组汇总也是被需要的,比如会找到销量的周期性规律。那么在用Python进行数据统计之前,就需要额外增加一步:从指定的日期当中获取星期几。比如2022年2月22日,还正好是正月廿二星期二,于是乎这一天登记结婚的人特别多。本文就以2022-02-22为例,演示Python获取指定日期是“星期几”的6种方法!weekday()datetime模块是一个Python内置库,无需再进行pip安装,它除了可以显示日期和时间之外,还可以进行日期和时间的运算以及格式化。datet
    1063天前 Python 命令 日期 0
  • Python执行py文件需要可执行权限吗 正版软件
    Python执行py文件需要可执行权限吗
    案例解析这个问题描述起来有点违反直觉,要执行一个文件难道不应该需要可执行权限吗?让我们先来看一个例子:#module1.pydeftest():print('helloworld!')if__name__=='__main__':test()这是一个名为module1.py的文件,这个文件仅有可读权限:[dechin@dechin-manjaroexcute]$ll-r--r--r--1dechindechin781月1517:06module1.py我们可以直接用pyth
    1063天前 Python 0
  • Java中如何交换两个变量的值? 正版软件
    Java中如何交换两个变量的值?
    交换两个变量的值publicclassTestDemo{publicstaticvoidswap(int[]array){inttmp=array[0];array[0]=array[1];array[1]=tmp;}publicstaticvoidmain(String[]args){int[]array={10,20};System.out.println("交换前:"+array[0]+""+array[1]);swap(array);System.out.println("交换后:"+array[
    1063天前 Java 0
  • Java中循环和递归有什么区别? 正版软件
    Java中循环和递归有什么区别?
    说明1、一般递归调用可以处理的算法,也通过循环去解决常需要额外的低效处理。2、现在的编译器在优化后,对于多次调用的方法处理会有非常好的效率优化,效率未必低于循环。循环优点:结构简单缺点:并不能解决所有的问题。有的问题适合使用递归而不是循环,如果使用循环并不困难的话,最好使用循环。递归优点:代码简洁、清晰,并且容易验证正确性缺点:它的运行需要较多次数的方法调用,如果调用层数比较深,需要增加额外的堆栈处理,比如参数传递需要压栈等操作,会对执行效率有一定影响。但是,对于某些问题,如果不使用递归,那将是极端难看的
    1063天前 Java 0
  • MySQL哪些情况适合进行分表操作? 正版软件
    MySQL哪些情况适合进行分表操作?
    mysql中适合分表的情况:1、数据量过大,正常运维影响业务访问时,例如对数据库进行备份需要大量的磁盘IO和网络IO、对一个表进行DDL修改会锁住全表、对大表进行访问与更新出现锁等待;2、随着业务发展,需要对某些字段垂直拆分;3、单表中的数据量快速增长,当性能接近瓶颈时,就需要考虑水平切分。本教程操作环境:windows7系统、mysql8版本、DellG3电脑。并不是所有表都需要进行切分,主要还是看数据的增长速度。切分后会在某种程度上提升业务的复杂度,数据库除了承载数据的存储和查询外,协助业务更好的实现
    1063天前 MySQL 0
  • java如何设置文件属性 正版软件
    java如何设置文件属性
    文件属性设置packagecom.file;importjava.io.File;/***Createdbyelijahliuon2017/2/11.*/publicclassSetFileProperty{publicstaticvoidmain(String[]args){Filefile=newFile("test.file");if(file.exists()){file.setWritable(true);//可写file.setReadable(true);//可读file.setReadOn
    1063天前 Java 0
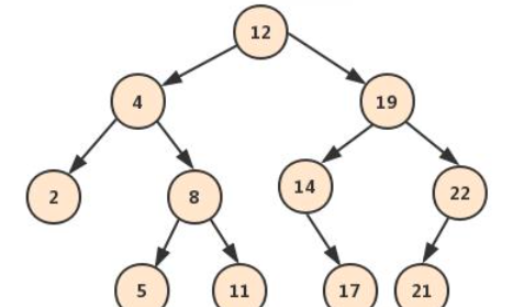
  • Java如何查找二叉树的最近公共祖先? 正版软件
    Java如何查找二叉树的最近公共祖先?
    思路一:先假设这棵树是二叉搜索树首先我们补充说明一下什么是二叉搜索树:在二叉搜索树中,对于每一个节点来说,他的左子树中的值都比他小,右子树的中的值都比他大。所以二叉搜索树的中序遍历是一组有序的数据。对于上述这棵树,假设要求pq的最近公共祖先。那么它有以下情况:对于普通的二叉树来说,也无非就这几种情况:pq都在左,pq都在右,pq一左一右,pq有一个是根节点。所以分别递归的去左子树和右子树中找pq节点的公共祖先,找到了则返回该节点,没有找到则返回空。根据上述思路,我们很容易写出代码publicTreeNod
    1063天前 Java 0