您的位置:首页 >使用Python实现鸡群算法
发布于2023-05-08 阅读(0)
扫一扫,手机访问
鸡群算法,缩写为CSO(Chicken Swarm Optimization),尽管具备所谓仿生学的背景,但实质上是粒子群算法的一个变体。
简单来说,粒子群就是一群粒子,每个粒子都有自己的位置和速度,而且每个粒子都要受到最佳粒子的吸引,除了这两条规则之外,粒子之间完全平等,彼此之间除了位置和速度之外,完全相等。
当然,粒子群算法本身也是有仿生学背景的,据说灵感来自于鸟群觅食,这个当然不重要,无非是一群平等的粒子变成了一群平等的鸟罢了。
而鸡群算法,则是为这些粒子,或者这些鸟,添加了不同的身份特征,使得彼此之间不再等同。
鸡群中至少有三个阶层,分别是公鸡、母鸡和小鸡,每只鸡都有其位置和速度。但区别之处在于,
公鸡最神气,原则上可以随便踱步,只是有的时候注意到其他公鸡的时候,会有抢食的想法,相当于随机抽选一只其他公鸡,对其位置产生影响。
母鸡最憋屈,一方面要接受公鸡的领导,另一方面还要和其他母鸡抢食
小鸡最无忧无虑,跟着母鸡走就是了。
随着位置关系的变化,母鸡和小鸡可能会逐渐遗忘最初的首领,也就是说种群关系可能会发生变化。
首先,要实现一个鸡类,一只鸡,有两种基本属性,即位置和类别。
import numpy as np from random import gauss, random randint = np.random.randint uniRand = np.random.uniform class Chicken: def __init__(self, N, xRange, order=0, kind=0): # 生成(N)维参数 self.x = uniRand(*xRange, (N,)) self.best = np.inf self.xBest = np.zeros((N,)) self.kind = kind # 鸡的类别 self.order = order # 鸡的编号 # 设置自己的首领公鸡 def setCock(self, i): self.cock = i # 设置自己的监护母鸡 def setHen(self, i): self.hen = i
其中kind分为三类,分别是公鸡、母鸡和小鸡。其中,每只母鸡都有自己的首领公鸡,每只小鸡都有自己的监护母鸡。
order为这只鸡在鸡群中的编号,主要在鸡群中得以体现。
鸡群和粒子群有一个很大的区别,后者说到底只有一个群,而鸡群中,每个公鸡都有自己的母鸡和小鸡,相当于一个小群体。但鸡和鸡之间的关系,并不取决于鸡自己,故而需要在鸡群中实现
randint = np.random.randint class Swarm: # cNum 鸡数,是三个元素的列表,分别是公鸡、母鸡和小鸡数 # N参数维度 def __init__(self, cNum, N, xRange): self.initCs(cNum, N, xRange) self.bestCS = deepcopy(self.cs) #最佳鸡群 self.best = np.inf #全局最优值 self.xBest = np.zeros((N,)) #全局最优参数 self.N = N def initCs(self, cNum, N, xRange, vRange): self.cs = [] self.cNum = cNum self.cocks = np.arange(cNum[0]) # 公鸡编号 self.hens = np.arange(cNum[0], cNum[0]+cNum[1]) #母鸡编号 self.chicks = np.arange(cNum[0]+cNum[1], np.sum(cNum)) #小鸡编号 kinds = np.repeat([0,1,2], cNum) for i in range(sum(cNum)): self.cs.append(Chicken(N,xRange, vRange, i, kinds[i])) if kinds[i] > 0: cock = randint(0, cNum[0]) self.cs[i].setCock(cock) if kinds[i] > 1: hen = randint(cNum[0], cNum[0]+cNum[1]) self.cs[i].setHen(hen)
其中,initCs是初始化鸡群的函数,其中母鸡、小鸡的首领公鸡,小鸡的监护母鸡,都是随机生成的。
接下来就是算法的核心环节,不同的鸡要遵循不同的更新规则,其中,公鸡最潇洒,其下一步位置只取决于自己,以及另一只随便挑选的公鸡。
公鸡
记当前这只公鸡的编号是i,随机挑选的公鸡编号是j , j≠i,则第i只公鸡位置的更新方法为
xi(t+1)=xi(t)⋅(1+r)
其中,r是通过正态分布生成的随机数,可表示为1∼N(0,σ2),其中σ2为

其中f一般叫做适应因子,相当于将某只鸡塞到待搜解的函数中得到的值。例如要搜索y=2的最小值,如果当前这只鸡的位置1.5,那么f=1.52=2.25。ε是一个防止除零错误的小量。
但需要注意,上文中所有的x,表示的并非一个标量,而是一个数组。
其Python实现为
# 写在Swarm类中 def cockStep(self): for i in self.cocks: # 第j只公鸡 j = np.random.randint(self.cNum[0]) if j==i: j = (j+1) % self.cNum[0] # 第i只公鸡 ci = self.cs[i] # 第j只公鸡 cj = self.cs[self.cocks[j]] sigma = 1 if cj.best > ci.best else np.exp( (cj.best-ci.best)/(np.abs(ci.best)+1e-15)) ci.x *= 1 + gauss(0, sigma)
母鸡
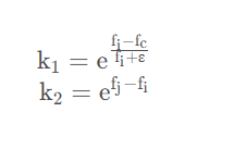
设当前母鸡编号为i,这只母鸡既要追随首领公鸡,又要和其他母鸡抢食。
xi(t+1)=xi(t)+k1r1(xc−xi)+k2r2(xj−xi)
其中,xc为其首领公鸡,xj为另一只母鸡或者公鸡。k1,k2为系数,其更新逻辑与公鸡的k是一样的,当fi较大时,表示为

代码实现为
def henStep(self): nGuarder = self.cNum[0] + self.cNum[1] - 2 for i in self.hens: guarders = list(self.cocks) + list(self.hens) c = self.cs[i].cock #首领公鸡 guarders.remove(i) guarders.remove(c) # 随机生成另一只监护鸡 j = guarders[np.random.randint(nGuarder)] ci = self.cs[i] cj = self.cs[j] cc = self.cs[c] k1, k2 = random(), random() if cc.best > ci.best: k1 *= np.exp((ci.best-cc.best)/(np.abs(ci.best)+1e-15)) if cj.best < ci.best: k2 *= np.exp(cj.best-ci.best) ci.x += k1*(cc.x-ci.x)+k2*(cj.x-ci.x)
小鸡
最后是小鸡的更新逻辑,小鸡在母鸡的周围找食物,其更新逻辑为
xi(t+1)=xi(t)+r(xh(t)−xi(t))
其中,xh为其监护母鸡,r为随机数,算法实现为
def chickStep(self): for i in self.chicks: ci = self.cs[i] ci.x += 2*random()*(self.cs[ci.hen].x-ci.x)
整个鸡群
正所谓,算法源于生活而高于生活,自然界里讲求辈分,但在鸡群算法里,讲究的确是实力。如果小鸡运气爆棚,得到了比公鸡还厉害的优化结果,那么这只小鸡就会进化成公鸡。
也就是说,每隔一段时间,鸡群里的鸡会被重新安排身份,优化效果最好的就是头领公鸡,差一点的是监护母鸡,最差的就只能是小鸡了。
def update(self): cn = np.sum(self.cNum) c1, c2 = self.cNum[0], self.cNum[0]+self.cNum[1] fitness = [self.cs[i].best for i in range(cn)] index = np.argsort(fitness) self.cocks = index[np.arange(c1)] self.hens = index[np.arange(c1,c2)] self.chicks = index[np.arange(c2,cn)] for i in self.cocks: self.cs[i].kind = 0 for i in self.hens: self.cs[i].kind = 1 for i in self.chicks: self.cs[i].kind = 2 for i in range(cn): if self.cs[i].kind > 0: cock = self.cocks[randint(0, c1)] self.cs[i].setCock(cock) if self.cs[i].kind > 1: hen = self.hens[randint(c1,c2)] self.cs[i].setHen(hen)
至此,集群算法的框架算是搭建成功了,接下来就实现最关键的部分,优化。
其基本逻辑是,输入一个待优化func,通过将每只鸡的位置x带入到这个函数中,得到一个判定值,最后通过这个判定值,来不断更新鸡群。
除了这个函数之外,还需要输入一些其他参数,比如整个鸡群算法的迭代次数,以及鸡群更新的频次等等
# func为待优化函数 # N为迭代次数 # T为鸡群更新周期 def optimize(self, func, N, T, msgT): for n in range(N): # 计算优化参数 for c in self.cs: c.best = func(c.x) # 分别更新公鸡、母鸡和小鸡 self.cockStep() self.henStep() self.chickStep() if (n+1)%T == 0: self.update() #每T次更新一次种群 self.printBest(n) self.printBest(n)
其中,printBest可以将当前最佳结果打印出来,其形式为
def printBest(self,n):
fitness = [c.best for c in self.cs]
best = np.min(fitness)
ind = np.where(fitness==best)[0]
msg = f"已经迭代{n}次,最佳优化结果为{np.min(fitness)},参数为:\n"
msg += ", ".join([f"{x:.6f}" for x in self.cs[ind].x])
print(msg)算法完成之后,当然要找个函数测试一下,测试函数为

def test(xs): _sum = 0.0 for i in range(len(xs)): _sum = _sum + np.cos((xs[i]*i)/5)*(i+1) return _sum if __name__ == "__main__": cNum = [15,20,100] s = Swarm(cNum, 5, (-5,5)) s.optimize(test, 20, 5)
测试结果如下
已经迭代4次,最佳优化结果为-5.793762423022024,参数为:
-6.599526, 3.117137, 5.959538, 7.225785, 5.204990
已经迭代9次,最佳优化结果为-10.61594651972434,参数为:
-7.003724, -5.589730, 0.981409, 12.920325, -19.006112
已经迭代14次,最佳优化结果为-9.143596747975293,参数为:
5.388234, -3.714421, -5.254391, -5.216215, -6.079223
已经迭代19次,最佳优化结果为-11.097888385616995,参数为:
-9.156244, -5.914600, -5.960154, 4.550833, 4.127889
已经迭代19次,最佳优化结果为-11.097888385616995,参数为:
-9.156244, -5.914600, -5.960154, 4.550833, 4.127889
售后无忧
立即购买>office旗舰店
售后无忧
立即购买>office旗舰店
售后无忧
立即购买>office旗舰店
售后无忧
立即购买>office旗舰店
正版软件
正版软件
正版软件
正版软件
1
2
3
7
9