商城首页欢迎来到中国正版软件门户

最新文章

  • java中File类的示例分析 正版软件
    java中File类的示例分析
    File类简介packagecom.file;importjava.io.File;importjava.io.IOException;/***Createdbyelijahliuon2017/2/10.*/publicclassfiletest{publicstaticvoidmain(String[]args){Filefile=newFile("hello.txt");//是否存在if(file.exists()){//文件System.out.println(file.isFile());//路径
    1071天前 Java file 0
  • java软引用怎么在浏览器中使用 正版软件
    java软引用怎么在浏览器中使用
    说明1、如果一个网页在浏览结束时回收内容,需要按后退查看之前浏览过的页面时重建。2、如果将浏览过的网页存储在内存中,会造成大量内存浪费,甚至导致内存溢出。实例//获取浏览器对象进行浏览Browserbrowser=newBrowser();//从后台程序加载浏览页面BrowserPagepage=browser.getPage();//将浏览完毕的页面置为软引用SoftReferencesoftReference=newSoftReference(page);//回退或者再次浏览此页面时if(softRe
    1071天前 浏览器 Java 0
  • MySQL异步复制和半同步复制怎么实现 正版软件
    MySQL异步复制和半同步复制怎么实现
    异步复制在异步复制(asyncreplication)中,Master不用关心Slave是否接收到二进制日志,所以Master与Slave没有任何的依赖关系。你可以认为Master和Slave是分别独自工作的两台服务器,数据最终会通过二进制日志达到一致。异步复制的性能最好,因为它对数据库本身几乎没有任何开销,除非主从延迟非常大,DumpThread需要读取大量二进制日志文件。如果业务对于数据一致性要求不高,当发生故障时,能容忍数据的丢失,甚至大量的丢失,推荐用异步复制,这样性能最好(比如像微博这样的业务,
    1071天前 MySQL 0
  • 怎样使用Requests模块抓取网页? 正版软件
    怎样使用Requests模块抓取网页?
    ​爬取网页其实就是通过URL获取网页信息,网页信息的实质是一段添加了JavaScript和CSS的HTML代码。Python提供了一个抓取网页信息的第三方模块requests,requests模块自称“HTTPforHumans”,直译过来的意思是专门为人类而设计的HTTP模块,该模块支持发送请求,也支持获取响应。1.发送请求requests模块提供了很多发送HTTP请求的函数,常用的请求函数具体如表10-1所示。表10-1requests模块的请求函数2.获取响应requests模块提供的Resp
    1071天前 CSS JavaScript URL 0
  • Linux通用java程序启动脚本怎么写 正版软件
    Linux通用java程序启动脚本怎么写
    脚本代码如下:#!/bin/sh#该脚本为linux下启动java程序的通用脚本。即可以作为开机自启动service脚本被调用,#也可以作为启动java程序的独立脚本来使用。##author:tudaxia.com,date:2011/6/7##警告!!!:该脚本stop部分使用系统kill命令来强制终止指定的java程序进程。#在杀死进程前,未作任何条件检查。在某些情况下,如程序正在进行文件或数据库写操作,#可能会造成数据丢失或数据不完整。如果必须要考虑到这类情况,则需要改写此脚本,#增加在执行kill
    1071天前 Linux Java 0
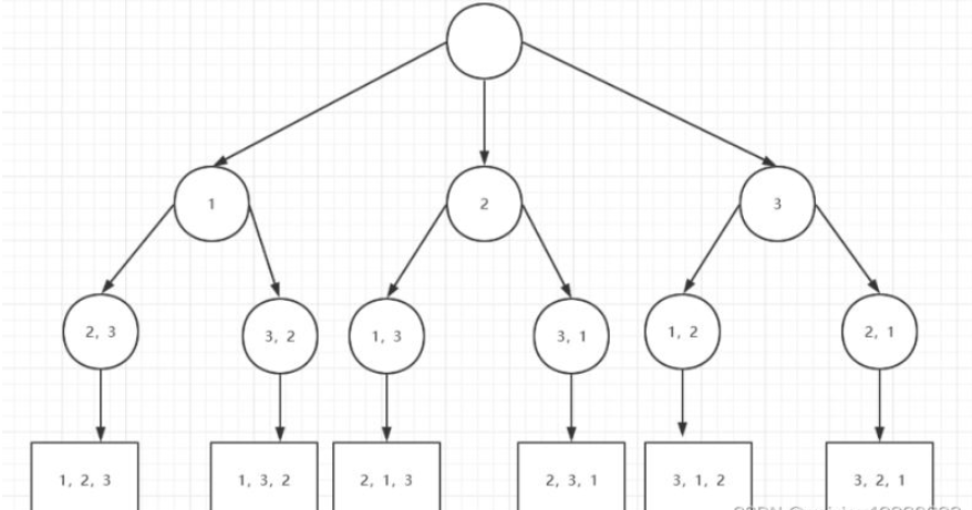
  • Java算法如何实现全排列 正版软件
    Java算法如何实现全排列
    算法一基于递归与回溯实现。在排列1,2,3的时候,先由3向上回溯到2发现没有其他可能的情况,再回溯到1,排列为1,3,2再向上回溯到存在其他情况时,即根节点然后再排列以2为第一位的情况,重复上述过程将所有可能结果全部放入res中。代码:importjava.util.ArrayList;importjava.util.List;publicclassh718_1{staticListres=newArrayList();publicstaticvoidmain(String[]args){int[]arr
    1071天前 Java 0
  • Java实现屏幕截图工具的代码怎么写 正版软件
    Java实现屏幕截图工具的代码怎么写
    效果展示程序运行后的截图:先测试一下功能:截图过程对界面的捕捉:双击保存后的显示界面:后续的步骤就自己去尝试吧,这里给出了简单的测试过程。程序结构核心代码CaptureScreen.java类/***CaptureScreen.java*/importjava.awt.*;importjava.awt.datatransfer.DataFlavor;importjava.awt.datatransfer.Transferable;importjava.awt.datatransfer.Unsupporte
    1071天前 Java 0
  • Java JVM虚拟机调优的方法 正版软件
    Java JVM虚拟机调优的方法
    jmap查看内存信息jmaphisto/pid>./log.txt:查看某一进程实例个数,占用内存的字节数,以及所属的类jmap-heap/pid:查看堆信息jmap‐dump:format=b,file=app.hprof/pid通过jvisualvm命令启动jvm可视化管理界面可导入dump文件进行分析:查看类的实例jstack分析死锁:写一段死锁代码publicclassDeadLockTest{privatefinalstaticObjectlock1=newObject();privatefin
    1071天前 Java JVM 0
  • thinkphp5如何判断表是否存在 正版软件
    thinkphp5如何判断表是否存在
    方法:1、用“$a=M()->query('SHOWTABLESLIKE"表名"');if($a){存在}else{表不存在}”判断;2、用“$a=M(表名);if($a->getDbError()){表不存在}else{存在}”判断。本文操作环境:Windows10系统、ThinkPHP5版、DellG3电脑。thinkphp5怎么判断表是否存在thinkphp框架是一个非常好用也非常强大的框架,它时候我们国人的开发习惯。那么在使用thinkphp框
    1071天前 thinkphp 0
  • Java锁如何优化 正版软件
    Java锁如何优化
      锁优化  这里的锁优化主要是指JVM对synchronized的优化。  自旋锁  互斥同步进入阻塞状态的开销都很大,应该尽量避免。在许多应用中,共享数据的锁定状态只会持续很短的一段时间。自旋锁的思想是让一个线程在请求一个共享数据的锁时执行忙循环(自旋)一段时间,如果在这段时间内能获得锁,就可以避免进入阻塞状态。  自旋锁虽然能避免进入阻塞状态从而减少开销,但是它需要进行忙循环操作占用CPU时间,它只适用于共享数据的锁定状态很短的场景。  在JDK1.6中引入了自适应的自旋锁。自适应意味着自旋的次数不
    1071天前 Java 0