商城首页欢迎来到中国正版软件门户

最新文章

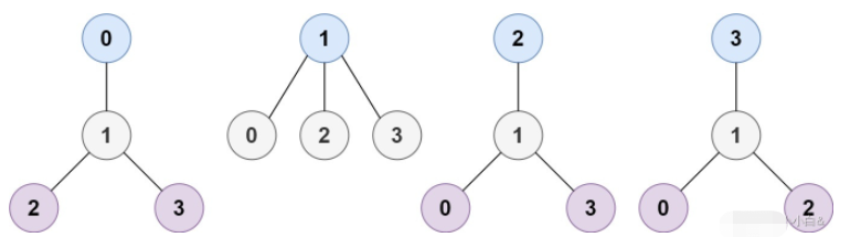
  • Java实现最小高度树的方法及步骤 正版软件
    Java实现最小高度树的方法及步骤
    题设要求树是一个无向图,其中任何两个顶点只通过一条路径连接。换句话说,一个任何没有简单环路的连通图都是一棵树。给你一棵包含n个节点的树,标记为0到n-1。给定数字n和一个有n-1条无向边的edges列表(每一个边都是一对标签),其中edges[i]=[ai,bi]表示树中节点ai和bi之间存在一条无向边。可选择树中任何一个节点作为根。当选择节点x作为根节点时,设结果树的高度为h。在所有可能的树中,具有最小高度的树(即,min(h))被称为最小高度树。请你找到所有的最小高度树并按任意顺序返回它们的根节点标签
    1063天前 Java 0
  • Java Spring框架创建项目与Bean的存储与读取实例分析 正版软件
    Java Spring框架创建项目与Bean的存储与读取实例分析
    1.Spring项目的创建1.1创建Maven项目第一步,创建Maven项目,Spring也是基于Maven的。1.2添加spring依赖第二步,在Maven项目中添加Spring的支持(spring-context,spring-beans)在pom.xml文件添加依赖项。org.springframeworkspring-context5.2.3.RELEASEorg.springframeworkspring-beans5.2.3.RELEASE刷新等待加载完成。1.3创建启动类第三步,创建启动类与
    1063天前 Spring Java bean 0
  • Java如何实现二分法? 正版软件
    Java如何实现二分法?
    在一个有序数组中,找某个数是否存在思路:由于是有序数组,可以先得到中点位置,中点可以把数组分为左右半边。如果中点位置的值等于目标值,直接返回中点位置。如果中点位置的值小于目标值,则去数组中点左侧按同样的方式寻找。如果中点位置的值大于目标值,则取数组中点右侧按同样的方式寻找。如果最后没有找到,则返回:-1。代码classSolution{publicintsearch(int[]arr,intt){if(arr==null||arr.length1);if(arr[m]==t){returnm;}elsei
    1063天前 Java 0
  • Java中如何避免不必要的受检异常使用? 正版软件
    Java中如何避免不必要的受检异常使用?
    避免不必要的使用受检异常检查异常强制调用者处理异常情况,因为如果没有,编译器会抱怨。过度使用检查异常会给调用者带来处理异常情况的负担。所以必要时应该使用受检异常。使用受检异常的经验法则是,当无法通过检查前提条件避免异常时,调用者可以采取一些有用的操作来处理异常。常用的运行时异常本身就是不要过度使用检查异常的例子。在常见的运行时异常有:ArithmeticException,ClassCastException异常,抛出:IllegalArgumentException,IllegalStateExcept
    1063天前 Java 0
  • java如何导入scanner类所在的包 正版软件
    java如何导入scanner类所在的包
    如下图当然也可以自己添加pom文件,如下3、添加配置文件application.properties中4、JEDIS配置类的编写这里是核心jedisCluster这个bean的创建5、通用接口的编写经过这几篇的博客,可能也发现很多接口的定义,然后由不同的业务类去实现,面向接口的编程也是经历过近期的一个项目才有了比较深的理解,这些都是跟朱哥和军哥学习的,代码编写的规范,对于一个程序员来说,越早养成越好6、接下来是JEDIS接口的实现这里我只写了几个基础的核心配置,包括一些异常的处理,这里都没有贴出代码,当然
    1063天前 Java scanner 0
  • java数组如何赋值 正版软件
    java数组如何赋值
    一、赋值方法1.逐步定义数组,首先定义数组名称,然后赋予数组值。2.直接定义数组,同时赋值。访问数组的元素需要通过数组名[元素下标]来访问二、实例packageday03;publicclassTestArray{publicstaticvoidmain(String[]args){int[]b;b=newint[]{88,99,66};//分步定义数组,先定义数组名,然后再为数组赋值int[]d={88,99,100};//直接定义数组,同时赋值System.out.println(d[0]);//访问
    1063天前 Java 0
  • Java中如何创建自定义异常? 正版软件
    Java中如何创建自定义异常?
    一、异常分为哪几种异常分为两种,分别是编译异常和运行时异常。编译时异常都是Exception类及其子类必须显示处理,否则程序就会发生错误,无法通过编译运行时异常都是RuntimeException类及其子类无需显示处理,也可以和编译时异常一样处理packagecom.xxgc.chop5_2.test;publicclassExceptionDemo{publicstaticvoidshow4(){//把字符串转换int类型Stringa="张三";intb=Integer.parseInt(a);//N
    1063天前 Java 0
  • 如何使用Python Vaex快速分析100G级大数据? 正版软件
    如何使用Python Vaex快速分析100G级大数据?
    pandas处理大数据的限制现在的数据科学比赛提供的数据量越来越大,动不动几十个G,甚至上百G,这就要考验机器性能和数据处理能力。Python中的pandas是大家常用的数据处理工具,能应付较大数据集(千万行级别),但当数据量达到十亿百亿行级别,pandas处理起来就有点力不从心了,可以说非常的慢。这里面会有电脑内存等性能的因素,但pandas本身的数据处理机制(依赖内存)也限制了它处理大数据的能力。当然pandas可以通过chunk分批读取数据,但是这样的劣势在于数据处理较复杂,而且每一步分析都会消耗内
    1063天前 Python 0
  • java中list.forEach()和list.stream().forEach()的区别是什么 正版软件
    java中list.forEach()和list.stream().forEach()的区别是什么
    首先,它们的功能都是遍历数组每个元素并执行入参的accept()方法,但是它们的实现方式却不一样,在一些特定的情况下,执行会出现不同的结果。在大多数情况下,两者都会产生相同的结果,但是,我们会看到一些微妙的差异。概述首先,创建一个迭代列表:Listlist=Arrays.asList("A","B","C","D");最直接的方法是使用增强的for循环:for(Strings:list"){//something}如果我们想使用函数式Java,我们也可以使用forEach()。我们可以直接在集合上这样做:
    1063天前 Java list.foreach() list.stream().foreach() 0
  • Java通配符的使用规则是什么? 正版软件
    Java通配符的使用规则是什么?
    说明1、定义in变量,使用上限通配符。使用extends关键字。2、用super关键字用下限通配符来定义out变量。3、如果In变量可以使用Object类中定义的方法访问,则用无界的通配符。4、当代码需要访问In和out变量时,不要使用通配符。实例//自然数classNaturalNumber{privateinti;publicNaturalNumber(inti){this.i=i;}//...}//偶数classEvenNumberextendsNaturalNumber{publicEvenNum
    1063天前 Java 0