您的位置:首页 >Java实现最小高度树的方法及步骤
发布于2023-04-27 阅读(0)
扫一扫,手机访问
树是一个无向图,其中任何两个顶点只通过一条路径连接。 换句话说,一个任何没有简单环路的连通图都是一棵树。
给你一棵包含 n 个节点的树,标记为 0 到 n - 1 。给定数字 n 和一个有 n - 1 条无向边的 edges 列表(每一个边都是一对标签),其中 edges[i] = [ai, bi] 表示树中节点 ai 和 bi 之间存在一条无向边。
可选择树中任何一个节点作为根。当选择节点 x 作为根节点时,设结果树的高度为 h 。在所有可能的树中,具有最小高度的树(即,min(h))被称为 最小高度树 。
请你找到所有的 最小高度树 并按 任意顺序 返回它们的根节点标签列表。
树的 高度 是指根节点和叶子节点之间最长向下路径上边的数量。

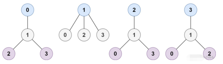
输入:n = 4, edges = [[1,0],[1,2],[1,3]]
输出:[1]
解释:如图所示,当根是标签为 1 的节点时,树的高度是 1 ,这是唯一的最小高度树。

输入:n = 6, edges = [[3,0],[3,1],[3,2],[3,4],[5,4]]
输出:[3,4]
提示:
1 <= n <= 2 * 104
edges.length == n - 1
0 <= ai, bi < n
ai != bi
所有 (ai, bi) 互不相同
给定的输入保证是一棵树,并且不会有重复的边
  由上述两个图我们可以得出结论:题中需要求解的是树里面的中心节点,而每个树的中心节点不会超过两个。
  而我们想要求得树里面的中心节点,我们就可以逐层FBS(也就是逐层将出度为一的叶子节点剪掉),直至剪到最后一层,就可以将结果输出了!
class Solution {
public List<Integer> findMinHeightTrees(int n, int[][] edges) {
List<Integer> res = new ArrayList<Integer>();
//如果只有一个节点,则它就是最小高度树
if(n == 1){
res.add(0);
return res;
}
//每个节点的邻居数量
int [] degree = new int[n];
//每个节点的邻居
HashMap<Integer,List<Integer>> map = new HashMap<>();
for(int [] edge : edges){
int a = edge[0];
int b = edge[1];
degree[a]++;
degree[b]++;
if(map.get(a) == null){
map.put(a,new ArrayList<Integer>());//key:节点 value:邻居
}
if(map.get(b) == null){
map.put(b,new ArrayList<Integer>());//key:节点 value:邻居
}
map.get(a).add(b);
map.get(b).add(a);
}
//建立队列
LinkedList<Integer> leafNodes = new LinkedList<Integer>();//表示叶子节点
//将所有度为1的节点入队
for(int i = 0;i < degree.length;i++){
if(degree[i] == 1){
leafNodes.add(i);
}
}
while(leafNodes.size() > 0){
res.clear();
//每一层节点的数量
int size = leafNodes.size();
for(int i = 0;i < size;i++){
int leaf = leafNodes.poll();
//将当前节点加入到结果集
res.add(leaf);
List<Integer> neighbors = map.get(leaf);
//将出度减一,也就是将最外层的叶子节点剪掉
for(int neighbor : neighbors){
degree[neighbor]--;
if(degree[neighbor] == 1){
//叶子节点入队
leafNodes.add(neighbor);
}
}
}
}
return res;
}
}
售后无忧
立即购买>office旗舰店
售后无忧
立即购买>office旗舰店
售后无忧
立即购买>office旗舰店
售后无忧
立即购买>office旗舰店
正版软件
正版软件
正版软件
正版软件
正版软件
1
2
3
7
9