您的位置:首页 >MathType编辑器中划线模板的操作方法
发布于2025-05-17 阅读(0)
扫一扫,手机访问
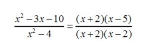
假定使用的等式如图所示:

要约去相同因式,我们将使用到MathType的【约去】划线模板。
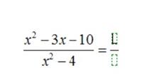
1.首先创建分式,在输入【=】好后插入第二个分式模板:

2.在输入数字前,在模板中选中划线模板,

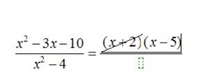
3.输入划线模板,在分子中输入第一个分式,按下Tab键退出划线模板,然后输入第二个分子,

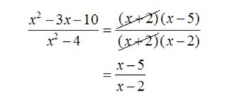
4.当你完成第二个分式的输入时,点击回车键换行。输入第二个等号【=】,然后输入分式。为了使等式在【=】处对齐,在格式菜单中选择在等号处对齐命令,最终等式效果如图所示:
售后无忧
立即购买>office旗舰店
售后无忧
立即购买>office旗舰店
售后无忧
立即购买>office旗舰店
售后无忧
立即购买>office旗舰店
正版软件
正版软件
正版软件
正版软件
正版软件
1
2
3
4
5
6
7
8
9