您的位置:首页 >如何理解和优化Python的垃圾回收机制?
发布于2023-05-09 阅读(0)
扫一扫,手机访问
得益于 Python 的自动垃圾回收机制,在 Python 中创建对象时无须手动释放。这对开发者非常友好,让开发者无须关注低层内存管理。但如果对其垃圾回收机制不了解,很多时候写出的 Python 代码会非常低效。
垃圾回收算法有很多,主要有: 引用计数 、 标记-清除 、 分代收集 等。
在 python 中,垃圾回收算法以 引用计数 为主, 标记-清除 和 分代收集 两种机制为辅。
引用计数原理比较简单:
每个对象有一个整型的引用计数属性。用于记录对象被引用的次数。例如对象 A ,如果有一个对象引用了 A ,则 A 的引用计数 +1 。当引用删除时, A 的引用计数 -1 。当 A 的引用计数为0时,即表示对象 A 不可能再被使用,直接回收。
在 Python 中,可以通过 sys 模块的 getrefcount 函数获取指定对象的引用计数器的值,我们以实际例子来看。
import sys class A(): def __init__(self): pass a = A() print(sys.getrefcount(a))
运行上面代码,可以得到输出结果为 2 。
上面我们看到,创建一个 A 对象,并将对象赋值给 a 变量后,对象的引用计数器值为 2 。那么什么时候计数器会 +1 ,什么时候计数器会 -1 呢?
A() a=A() func(a) arr=[a,a]
对象被显式销毁,如 del a 。变量重新赋予新的对象,例如 a=0 。对象离开它的作用域,如 func 函数执行完毕时, func 函数中的局部变量(全局变量不会)。
对象所在的容器被销毁,或从容器中删除对象。
为了更好的理解计数器的增减,我们运行实际代码,一目了然。
import sys
class A():
def __init__(self):
pass
print("创建对象 0 + 1 =", sys.getrefcount(A()))
a = A()
print("创建对象并赋值 0 + 2 =", sys.getrefcount(a))
b = a
c = a
print("赋给2个变量 2 + 2 =", sys.getrefcount(a))
b = None
print("变量重新赋值 4 - 1 =", sys.getrefcount(a))
del c
print("del对象 3 - 1 =", sys.getrefcount(a))
d = [a, a, a]
print("3次加入列表 2 + 3 =", sys.getrefcount(a))
def func(c):
print('传入函数 1 + 2 = ', sys.getrefcount(c))
func(A())输出结果如下:
创建对象 0 + 1 = 1 创建对象并赋值 0 + 2 = 2 赋给2个变量 2 + 2 = 4 变量重新赋值 4 - 1 = 3 del对象 3 - 1 = 2 3次加入列表 2 + 3 = 5 传入函数 1 + 2 = 3
高效、逻辑简单,只需根据规则对计数器做加减法。
实时性。一旦对象的计数器为零,就说明对象永远不可能再被用到,无须等待特定时机,直接释放内存。
需要为对象分配引用计数空间,增大了内存消耗。
当需要释放的对象比较大时,如字典对象,需要对引用的所有对象循环嵌套调用,可能耗时比较长。
循环引用。 这是引用计数的致命伤,引用计数对此是无解的,因此必须要使用其它的垃圾回收算法对其进行补充。

上一小节提到,引用计数算法无法解决循环引用问题,循环引用的对象会导致大家的计数器永远都不会等于 0 ,带来无法回收的问题。
标记-清除 算法主要用于潜在的循环引用问题,该算法分为2步:
标记阶段。将所有的对象看成图的节点,根据对象的引用关系构造图结构。从图的根节点遍历所有的对象,所有访问到的对象被打上标记,表明对象是“可达”的。
清除阶段。遍历所有对象,如果发现某个对象没有标记为“可达”,则就回收。
以具体代码示例说明:
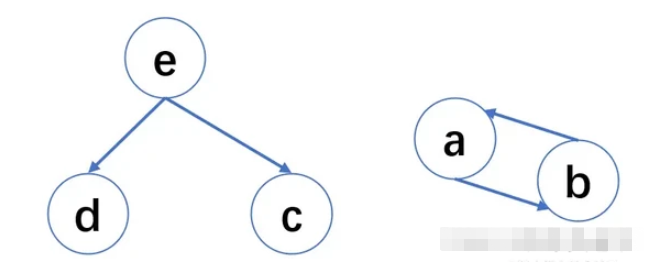
class A(): def __init__(self): self.obj = None def func(): a = A() b = A() c = A() d = A() a.obj = b b.obj = a return [c, d] e = func()
上面代码中,a和b相互引用,e引用了c和d。整个引用关系如下图所示

如果采用引用计数器算法,那么a和b两个对象将无法被回收。而采用标记清除法,从根节点(即e对象)开始遍历,c、d、e三个对象都会被标记为 可达 ,而a和b无法被标记。因此a和b会被回收。
这是读者可能会有疑问,为什么确定根节点是e,而不会是a、b、c、d呢?这里就有讲究了,什么样的对象会被看成是根节点呢?一般而言,根节点的选取包括(但不限于)如下几种:
当前栈帧中的本地变量表中引用的对象,如各个线程被调用的方法堆栈中使用到的参数、 局部变量、 临时变量等。
全局静态变量
...
在执行垃圾回收过程中,程序会被暂停,即 stop-the-world 。这里很好理解:你妈妈在打扫房间的时候,肯定不允许你在房间内到处丢垃圾,要不然永远也无法打扫干净。
为了减少程序的暂停时间,采用 分代回收 ( Generational Collection )降低垃圾收集耗时。
分代回收基于这样的法则:
接大部分的对象生命周期短,大部分对象都是朝生夕灭。
经历越多次数的垃圾收集且活下来的对象,说明该对象越不可能是垃圾,应该越少去收集。
Python 中,对象一共有3种世代: G0 , G1 , G2 。
对象刚创建时为 G0 。
如果在一轮 GC 扫描中存活下来,则移至 G1 ,处于 G1 的对象被扫描次数会减少。
如果再次在扫描中活下来,则进入 G2 ,处于 G1 的对象被扫描次数将会更少。
当某世代中分配的对象数量与被释放的对象之差达到某个阈值的时,将触发对该代的扫描。当某世代触发扫描时,比该世代年轻的世代也会触发扫描。
那么这个阈值是多少呢?我们可以通过代码查看或者修改,示例代码如下
import gc
threshold = gc.get_threshold()
print("各世代的阈值:", threshold)
# 设置各世代阈值
# gc.set_threshold(threshold0[, threshold1[, threshold2]])
gc.set_threshold(800, 20, 20)输出结果如下:
各世代的阈值: (700, 10, 10)
售后无忧
立即购买>office旗舰店
售后无忧
立即购买>office旗舰店
售后无忧
立即购买>office旗舰店
售后无忧
立即购买>office旗舰店
正版软件
正版软件
正版软件
正版软件
正版软件
1
2
3
7
9