您的位置:首页 >MathType输入量子算符的方法
岛市老八 发布于2020-07-15 阅读(0)
扫一扫,手机访问
MathType公式编辑器因其强大的公式编辑能力而在数理方面受到广泛应用。在物理方面MathType的使用也很频繁,用MathType输入物理符号也很方便,下面介绍用MathType输入量子算符的过程。
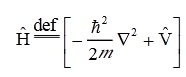
比如哈密顿算符:

具体步骤如下:
1.输入H后,在MathType工具栏中选择修饰模板中的帽子模板。

2.在矩阵模板中选择2行1列模板。

3.在矩阵的上部选择底线与顶线模板中的双底线模板。

4.选择括号模板中的括号或方括号模板,依次输入,再选择分式模板中的标准分式尺寸输入分式,分子选择杂项符号模板中的普朗克常量,输入后选择下标和上标模板中的上标模板输入平方。

5.选择杂项符号中的nabla算符输入,再依次输入,V的输入可依照H的输入方法。

以上内容向大家介绍了MathType输入量子算符的方法,其实每一个都是MathType模板的组合,并没有太复杂,需要大家对MathType工具栏比较熟悉,并开发思维进行各种组合。
售后无忧
立即购买>office旗舰店
售后无忧
立即购买>office旗舰店
正版软件
正版软件
正版软件
正版软件
正版软件
1
2
3
4
5
6
7
8
9