您的位置:首页 >MathType输入字母上方黑点的方法
岛市老八 发布于2020-07-15 阅读(20)
扫一扫,手机访问
在数学公式中,有很多数学样式需要用MathType公式编辑器来完成,灵活运用MathType上标与下标就可以实现这些数学样式。本节介绍MathType字母黑点的编辑方法。
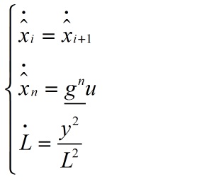
例如输入下面的方程组:

输入x的步骤如下:
1.打开MathType软件,在括号模板中选择左边大括号,在上标与下标模板中选择中上标模板。

2.将光标放在上标处,在运算符符号中选择合适的黑点来输入。

3.将光标放在下部,在顶线与底线模板中选择帽子模板,输入x。

4.将光标移到x外面,选择下标模板,输入下标i,至此方程中的x数学样式编辑完成。

提示:此时如果用键盘输入黑点,这个黑点是非常小的,公式保存后基本看不出来,所以一般不用键盘输入黑点。
售后无忧
立即购买>office旗舰店
售后无忧
立即购买>office旗舰店
正版软件
正版软件
正版软件
正版软件
正版软件
1
2
3
4
5
6
7
8
9