您的位置:首页 >MathType输入约去分式的方法
岛市老八 发布于2020-07-16 阅读(0)
扫一扫,手机访问
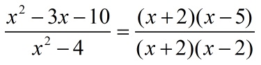
在数学中常常要在等式中约去相同因式,并模仿出约去的标记。在电脑中要模仿约去的标记并不是那么容易,但是用MathType输入约去分式,可以达到效果。假设使用的等式如下图所示:

具体操作步骤如下:
1.打开MathType软件,在分式模板中选择标准分式输入分式。在“=”输入好后插入第二个分式模板。

2.在底线与顶线模板中选择划线模板。

3.在分子中输入第一个分式,输入完括号后按下Tab键退出划线模板,再继续输入第二个分式,输入后如下图所示。

4.按相同方法输入分母,得到如下图所示约去分式格式。

这种方法可以很好地显示分式运算过程,用MathType编辑公式时可以很好地体现这一点。
售后无忧
立即购买>office旗舰店
售后无忧
立即购买>office旗舰店
正版软件
正版软件
正版软件
正版软件
正版软件
1
2
3
4
5
6
7
8
9