您的位置:首页 >使MathType分段函数居中对齐
岛市老八 发布于2020-07-16 阅读(0)
扫一扫,手机访问
在书写论文或者一般的文件时,可能会碰到书写分段函数,利用MathType可以编辑较好看的分段函数。那么该如何对齐MathType编辑的分段函数呢?以下教程讲解使MathType分段函数居中对齐的方法。

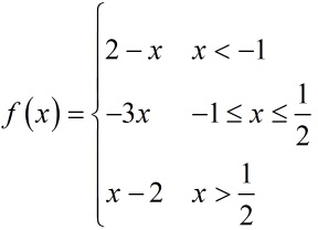
以使上图给出的分段函数居中对齐为例讲解具体操作步骤:
1.将光标定位到上面第一个公式的2前,选择“格式”菜单下的“矩阵”命令,在矩阵子菜单下选择 “更改矩阵”。

2.弹出的矩阵对话框,在“列对齐”方式下选择“居中”,然后点击确定按钮。

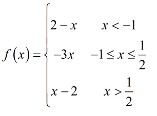
3.此时分段函数以居中对齐显示,如下图所示。

提示:我们还可以在矩阵对话框中选择其它的列对齐方式,甚至还可以改变行对齐方式。
以上教程详解使MathType分段函数对齐的操作方法,学习该教程,相信大家已经掌握了该技巧。如何使用MathType编辑该分段函数的,在这里就不作详细讲解,用户可参考MathType使用技巧之如何编辑MathType大括号分段函数。
售后无忧
立即购买>office旗舰店
售后无忧
立即购买>office旗舰店
正版软件
正版软件
正版软件
正版软件
正版软件
1
2
3
4
5
6
7
8
9