您的位置:首页 >Java双指针法怎么使用
发布于2023-05-01 阅读(0)
扫一扫,手机访问
通常用在线性的数据结构中,比如链表和数组。
指针其实就是数据的索引或者链表的结点。两个指针朝着左右两个方向移动,直到满足搜索条件。 双指针可分为同向双指针、异向双指针、快慢指针、滑动窗口。根据需求选择双指针的模型,比如 删除数组或链表中重复的元素,同向双指针(线性表前提是有序的); 快慢指针一般用在链表中,比如求链表的中点、判断链表是否有环、判断链表换的起点、环的长度、以及链表的倒数第K个元素; 比如在二分查找中用的就是异向双指针; 滑动窗口其实就是在数组或者链表某个区间上的操作,比如求最长/最短子字符串或是特定子字符串的长度要求。
力扣141题
给你一个链表的头节点 head ,判断链表中是否有环。
如果链表中有某个节点,可以通过连续跟踪 next 指针再次到达,则链表中存在环。 为了表示给定链表中的环,评测系统内部使用整数 pos 来表示链表尾连接到链表中的位置(索引从 0 开始)。注意:pos 不作为参数进行传递 。仅仅是为了标识链表的实际情况。
如果链表中存在环 ,则返回 true 。 否则,返回 false 。

代码实现
public class Solution {
//快慢指针法
public boolean hasCycle(ListNode head) {
ListNode fast = head;
ListNode low = head;
while(fast != null && fast.next != null){
fast = fast.next.next;
low = low.next;
//此时相遇了
if(fast == low){
return true;
}
}
return false;
}
}力扣876题
给定一个头结点为 head 的非空单链表,返回链表的中间结点。
如果有两个中间结点,则返回第二个中间结点。

代码实现
//快慢指针法
public ListNode middleNode(ListNode head) {
ListNode low = head,fast = head;
while(fast != null && fast.next != null){
//慢指针走一步
low = low.next;
//快指针走两步
fast = fast.next.next;
}
//奇数,fast.next = null时,low即为所求
//偶数,fsat == null时,low即为所求
return low;
}力扣328题
给定单链表的头节点 head ,将所有索引为奇数的节点和索引为偶数的节点分别组合在一起,然后返回重新排序的列表。
第一个节点的索引被认为是 奇数 , 第二个节点的索引为 偶数 ,以此类推。

代码实现
public ListNode oddEvenList(ListNode head) {
if(head == null){
return head;
}
ListNode fastHead = head.next;
ListNode lowTail = head;//奇数链表
ListNode fastTail = fastHead;//偶数链表
while(fastTail != null && fastTail.next != null){
//更新奇数节点时,奇数节点的后一个节点需要指向偶数节点的后一个节点
lowTail.next = fastTail.next;
lowTail = lowTail.next;
// 更新偶数节点时,偶数节点的后一个节点需要指向奇数节点的后一个节点
fastTail.next = lowTail.next;
fastTail = fastTail.next;
}
//合并两个链表
lowTail.next = fastHead;
return head;
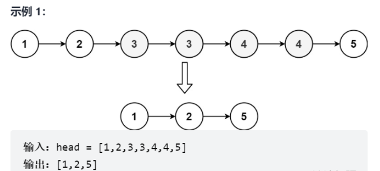
}力扣82题
给定一个已排序的链表的头 head , 删除原始链表中所有重复数字的节点,只留下不同的数字 。返回 已排序的链表

代码实现
public ListNode deleteDuplicates(ListNode head) {
//虚拟头节点法
ListNode dummyHead = new ListNode(-1);
dummyHead.next = head;
ListNode prev = dummyHead;
ListNode cur = prev.next;
while(cur != null){
//引入next指针
ListNode next = cur.next;
if(next == null){
//只有一个元素
return dummyHead.next;
}
if(cur.val != next.val){
//cur不是重复节点,三指针都移动
cur = cur.next;
prev = prev.next;
}else{
//让next指针一直向后移动,直到与cur.val不相等的节点位置
while(next != null && cur.val == next.val){
next = next.next;
}
// 此时next指向了第一个不重复的元素
// 此时prev - next之间所有重复元素全部删除
prev.next = next;
cur = next;
}
}
return dummyHead.next;
}力扣15题
给你一个包含 n 个整数的数组 nums,判断 nums 中是否存在三个元素 a,b,c ,使得 a + b + c = 0 ?请你找出所有和为 0 且不重复的三元组。
注意:答案中不可以包含重复的三元组。

代码实现
public List<List<Integer>> threeSum(int[] nums) {
int n = nums.length;
Arrays.sort(nums);
List<List<Integer>> ans = new ArrayList<List<Integer>>();
// 枚举 a
for (int first = 0; first < n; ++first) {
// 需要和上一次枚举的数不相同
if (first > 0 && nums[first] == nums[first - 1]) {
continue;
}
// c 对应的指针初始指向数组的最右端
int third = n - 1;
int target = -nums[first];
// 枚举 b
for (int second = first + 1; second < n; ++second) {
// 需要和上一次枚举的数不相同
if (second > first + 1 && nums[second] == nums[second - 1]) {
continue;
}
// 需要保证 b 的指针在 c 的指针的左侧
while (second < third && nums[second] + nums[third] > target) {
--third;
}
// 如果指针重合,随着 b 后续的增加
// 就不会有满足 a+b+c=0 并且 b<c 的 c 了,可以退出循环
if (second == third) {
break;
}
if (nums[second] + nums[third] == target) {
List<Integer> list = new ArrayList<Integer>();
list.add(nums[first]);
list.add(nums[second]);
list.add(nums[third]);
ans.add(list);
}
}
}
return ans;
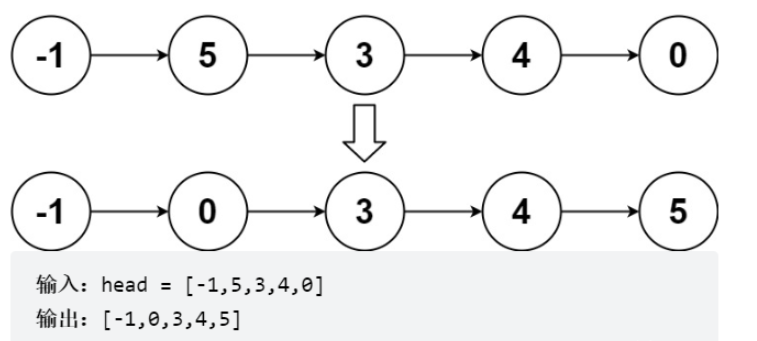
}力扣面试题02.04
给你一个链表的头节点 head 和一个特定值 x ,请你对链表进行分隔,使得所有 小于 x 的节点都出现在 大于或等于 x 的节点之前。
你不需要 保留 每个分区中各节点的初始相对位置。

代码实现
public ListNode partition(ListNode head, int x) {
// 创建small和big两个小链表的头节点
ListNode smallHead = new ListNode(-1);
ListNode bigHead = new ListNode(-1);
// 按照升序插入,因此需要尾插
// 分别指向两个子链表的尾部
ListNode smallTail = smallHead;
ListNode bigTail = bigHead;
//遍历原链表,根据值放入small和big链表中
while(head != null){
if(head.val < x){
smallTail.next = head;
smallTail = head;
}else{
bigTail.next = head;
bigTail = head;
}
head = head.next;
}
bigTail.next = null;
//拼接小链表和大链表
smallTail.next = bigHead.next;
return smallHead.next;
}力扣88题
给你两个按 非递减顺序 排列的整数数组 nums1 和 nums2,另有两个整数 m 和 n ,分别表示 nums1 和 nums2 中的元素数目。请你 合并 nums2 到 nums1 中,使合并后的数组同样按 非递减顺序 排列。
注意:最终,合并后数组不应由函数返回,而是存储在数组 nums1 中。为了应对这种情况,nums1 的初始长度为 m + n,其中前 m 个元素表示应合并的元素,后 n 个元素为 0 ,应忽略。nums2 的长度为 n 。

代码实现
public void merge(int[] nums1, int m, int[] nums2, int n) {
int p1 = 0, p2 = 0;
int[] sorted = new int[m + n];
int cur;
while (p1 < m || p2 < n) {
if (p1 == m) {
cur = nums2[p2++];
} else if (p2 == n) {
cur = nums1[p1++];
} else if (nums1[p1] < nums2[p2]) {
cur = nums1[p1++];
} else {
cur = nums2[p2++];
}
sorted[p1 + p2 - 1] = cur;
}
for (int i = 0; i != m + n; ++i) {
nums1[i] = sorted[i];
}
}力扣167题
给你一个下标从 1 开始的整数数组 numbers ,该数组已按 非递减顺序排列 ,请你从数组中找出满足相加之和等于目标数 target 的两个数。如果设这两个数分别是 numbers[index1] 和 numbers[index2] ,则 1 <= index1 < index2 <= numbers.length 。
以长度为 2 的整数数组 [index1, index2] 的形式返回这两个整数的下标 index1 和 index2。

代码实现
public int[] twoSum(int[] numbers, int target) {
int low = 0, high = numbers.length - 1;
while (low < high) {
int sum = numbers[low] + numbers[high];
if (sum == target) {
return new int[]{low + 1, high + 1};
} else if (sum < target) {
++low;
} else {
--high;
}
}
return new int[]{-1, -1};
}(力扣209)给定一个含有 n 个正整数的数组和一个正整数 target 。
找出该数组中满足其和 ≥ target 的长度最小的 连续子数组 [numsl, numsl+1, …, numsr-1, numsr] ,并返回其长度。如果不存在符合条件的子数组,返回 0

代码实现
//滑动窗口法
public int minSubArrayLen(int s, int[] nums) {
int n = nums.length;
if (n == 0) {
return 0;
}
int ans = Integer.MAX_VALUE;
int start = 0, end = 0;
int sum = 0;
while (end < n) {
sum += nums[end];
while (sum >= s) {
ans = Math.min(ans, end - start + 1);
sum -= nums[start];
start++;
}
end++;
}
return ans == Integer.MAX_VALUE ? 0 : ans;
}给你链表的头结点 head ,请将其按 升序 排列并返回 排序后的链表 。

解题思路
通过递归实现链表归并排序,有以下两个环节:
1,分割 cut 环节: 找到当前链表中点,并从中点将链表断开(以便在下次递归 cut 时,链表片段拥有正确边界); 我们使用 fast,slow 快慢双指针法,奇数个节点找到中点,偶数个节点找到中心左边的节点。 找到中点 slow 后,执行 slow.next = None 将链表切断。 递归分割时,输入当前链表左端点 head 和中心节点 slow 的下一个节点 tmp(因为链表是从 slow 切断的)。 cut 递归终止条件: 当head.next == None时,说明只有一个节点了,直接返回此节点。
2,合并 merge 环节: 将两个排序链表合并,转化为一个排序链表。 双指针法合并,建立辅助ListNode h 作为头部。 设置两指针 left, right 分别指向两链表头部,比较两指针处节点值大小,由小到大加入合并链表头部,指针交替前进,直至添加完两个链表。 返回辅助ListNode h 作为头部的下个节点 h.next。
代码实现
public ListNode sortList(ListNode head) {
if (head == null || head.next == null)
return head;
ListNode fast = head.next, slow = head;
while (fast != null && fast.next != null) {
slow = slow.next;
fast = fast.next.next;
}
ListNode tmp = slow.next;
slow.next = null;
ListNode left = sortList(head);
ListNode right = sortList(tmp);
ListNode h = new ListNode(0);
ListNode res = h;
while (left != null && right != null) {
if (left.val < right.val) {
h.next = left;
left = left.next;
} else {
h.next = right;
right = right.next;
}
h = h.next;
}
h.next = left != null ? left : right;
return res.next;
}
售后无忧
立即购买>office旗舰店
售后无忧
立即购买>office旗舰店
售后无忧
立即购买>office旗舰店
售后无忧
立即购买>office旗舰店
正版软件
正版软件
正版软件
正版软件
正版软件
1
2
3
7
9