您的位置:首页 >MathType输入大括号分段函数的方法
岛市老八 发布于2020-07-16 阅读(0)
扫一扫,手机访问
在书写论文或者一般的文件时,可能会碰到书写带有大括号的分段函数,建议不要手工从键盘输入任何括号,因为在有的版本中,从键盘输入的括号不能随公式的高度变化。我们可以利用MathType公式编辑器可以编辑较好看的分段函数。本教程以给出的分段函数为例讲解大括号分段函数的编辑方法。
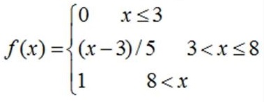
要求:编写如下图所示的分段函数

具体步骤如下:
1.打开Mathtype公式编辑器。
2.点击
栅栏模板,插入大括号。
3选其中的左括号,如下图所示。

4.然后,在
矩阵模板下选择多选按钮,如下图所示。

5.在弹出的矩阵对话框中选择行数为3,列数为2,插入3×2矩阵。

6.插入矩阵后,在第一列输入函数表达式,第二列是相应的部分区间。
学习以上教程,就可以很方便的在MathType中编辑带有大括号的分段函数。
售后无忧
立即购买>office旗舰店
售后无忧
立即购买>office旗舰店
正版软件
正版软件
正版软件
正版软件
正版软件
1
2
3
4
5
6
7
8
9