您的位置:首页 >MathType输入傅里叶变换符号的方法
岛市老八 发布于2020-07-15 阅读(0)
扫一扫,手机访问
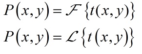
在高等数学中,有很多数学变换,这些变换符号很重要,也很美观,比如傅里叶变换,拉普拉斯变换,那么这些MathType数学变换符号怎么输入呢?

具体步骤如下:
1.打开MathType软件,输入大写字母P,在括号模板中选择圆括号模板输入相应的变量。

2.在要输入傅里叶变换的地方输入大写字母F,选中“F”,选择“样式”——“其他”,将字体改为Euclid Math One,点击“确定”即可。

3.在括号模板中选择左右大括号,输入相应的变量。

温馨提示:拉普拉斯变换符号输入方法相同。
以上内容向大家介绍了傅里叶变换符号的输入方法,整个过程运用了MathType括号模板。
售后无忧
立即购买>office旗舰店
售后无忧
立即购买>office旗舰店
正版软件
正版软件
正版软件
正版软件
正版软件
1
2
3
4
5
6
7
8
9